PLANIFICACIÓN DE LA CARGA DE ENTRENAMIENTO EN EL FÚTBOL UTILIZANDO LA DENSIDAD DE LOS JUEGOS REDUCIDOS
Sangnier, S., Cotte, T., Brachet, O., Coquart, J., & Tourny, C. (2019). Planning training workload in football using small-sided games’ density. The Journal of Strength & Conditioning Research, 33(10), 2801-2811.
Bienvenidos de nuevo a nuestro blog. Esta semana, desde Fútbol Revolucionario os presentamos un interesante artículo que relaciona la carga de entrenamiento, la densidad del área por jugador y las principales cualidades físicas con diferentes densidades de juegos reducidos (SSG). En la actualidad, son muchos los entrenadores o preparadores físicos que utilizan en su día a día los SSG para mejorar la condición física y el rendimiento en los partidos en jugadores de fútbol debido a su más que demostrada evidencia científica. Pero ¿realmente sabemos que cualidad física estamos desarrollando en cada SSG? ¿Si modificamos el espacio o número de jugadores estamos demandando más o menos intensidad a nuestros jugadores? Esperamos que después de la lectura de este articulo seas capaz de responder a estas preguntas y puedas planificar tus entrenamientos en función de los parámetros condicionales deseados.
Como es bien sabido, los juegos reducidos (SSG) son tareas de entrenamiento o partidos en los que el tamaño del campo, el número de jugadores y las reglas del juego son diferentes a los partidos de fútbol tradicionales. En los últimos años se han utilizado como una alternativa al trabajo físico sin pelota puesto que nos permiten desarrollar simultáneamente habilidades técnicas, tácticas y físicas. Además, se ha demostrado que ambos entrenamientos son igual de efectivos en términos fisiológicos.
Importancia de la densidad en los juegos reducidos en Fútbol
Durante una temporada, la densidad de los SSG varía dependiendo de los objetivos del cuerpo técnico, número de jugadores disponibles o momento de la temporada. Por lo tanto, conocer la evolución de los parámetros fisiológicos, aumentará nuestra comprensión de las demandas físicas de los SSG. Los autores subrayaron el interés en monitorizar con precisión la intensidad por dispositivos GPS durante los SSG, debido a las limitaciones encontradas al usar la frecuencia cardíaca (HR), ya que subestima la actividad anaeróbica de alta intensidad en los SSG.
Por lo tanto, el objetivo principal del estudio fue evaluar la relación entre la carga de trabajo del entrenamiento y la densidad de los SSG en el fútbol utilizando datos de GPS para cuantificar la carga de trabajo. Por otro lado, el segundo propósito de este estudio fue examinar la relación entre los modelos de cualidades físicas en función de la densidad de los SSG y la coincidencia.
Capacidades físicas entrenables en los juegos reducidos de Fútbol
En cuanto a la metodología del estudio, se analizaron los datos de 33 densidades (41 tareas de entrenamientos y 3 partidos completos) a través de los sistemas GPS recopilados de 25 jugadores de fútbol profesional. Las cualidades físicas se dividieron en 4 categorías: Resistencia o variables metabólicas, compuesta por la distancia total (D_Tot) recorrida por jugador por minuto y el gasto estimado de energía (EEE); Potencia o variables metabólicas anaeróbicas, corresponden a ladistancia MP (D_Mp), Distancia total cubierta a alta MP (>20 Wxkg) y el número de MP(#_Mp); Velocidad correspondientes a la distancia de sprint (D_Sprint) y al número de sprints (#_sprint); y Fuerza, compuesta por la distancia de aceleración (D_Acc), distancia de desaceleración (D_Dec), número de aceleraciones (#_Acc) y desaceleraciones (#_Dec)

Los resultados del estudio sugieren que todos los datos del GPS coinciden con las habilidades atléticas esenciales del jugador. Todos estaban correlacionados con la densidad del juego. La distancia de aceleración, la distancia de desaceleración, la potencia metabólica y la distancia total siguieron un modelo de regresión logarítmico, mientras que la distancia y el número de sprints siguen un modelo de regresión lineal.

Distancia recorrida en juegos reducidos de Fútbol
En la figura 1, se puede ver que el total de distancia cubierta durante los 8 primeros minutos de un partido fue un 20 % más alto que las de los partidos enteros. Esto demostró que los SSG no reproducían el inicio de un partido. También se observó que cuando se reduce el espacio de juego, la distancia total y el gasto estimado de energía se reduce. La línea de puntos representa el ritmo requerido que debe lograrse durante las diferentes densidades de SSG para que el modelo logarítmico se correlacione con la intensidad máxima registrada durante un juego.

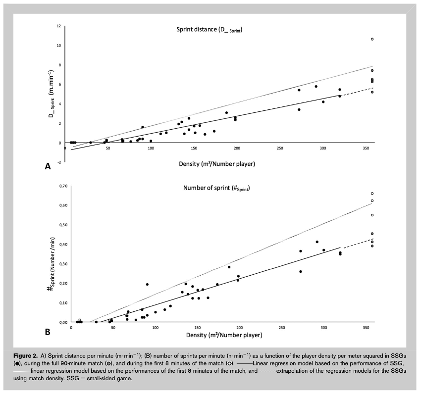
La distancia y el número de sprints tenían una correlación lineal positiva con la densidad del jugador por m2, por lo tanto, al aumentarse el espacio de juego se produjeron sprints más largos y de mayor intensidad. La figura 2 muestra que los SSG con una densidad de jugador de menos de 50 m2 no producían una distancia de sprint. Por otro lado, la frecuencia de los sprints durante los primeros 8 minutos de los partidos fue un 30 % más alta que el promedio de todo el partido.

Aceleraciones y desaceleraciones en los juegos reducidos de fútbol
La figura 3 muestra una evolución logarítmica de las aceleraciones y las desaceleraciones de los jugadores en función de la densidad de los jugadores en los SSG y durante los juegos. Cabe señalar que no hubo una diferencia significativa entre el número de aceleraciones y desaceleraciones para el promedio general del partido y los de los primeros 8 minutos del partido.

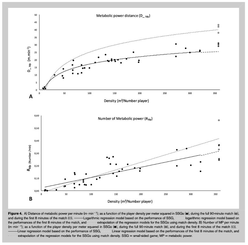
La figura 4 muestra que la distancia de MP siguió a una curva de regresión logarítmica, mientras que el número de acciones de MP siguió a una regresión lineal. Aunque el promedio del partido estaba a lo largo de la línea de regresión del modelo, la frecuencia de las acciones y la distancia mantenida a nivel metabólico en condiciones predominantemente anaeróbicas o de potencia fueron mucho más altas en el promedio de los primeros 8 minutos del partido en comparación con los SSG (30% mayor que en partido).

Ajustes de la carga en función de la densidad de los Small Sided Games
Los hallazgos de este estudio revelan interesantes opciones para controlar la carga de trabajo y demuestran que para desarrollar cada una de las cualidades físicas la densidad en los SSG tiene que ser diferente. Esto permite a los entrenadores y cuerpos técnicos anticipar la carga resultante de los SSG ajustando el tamaño del campo y número de jugadores a los objetivos planteados, evitando así el subentrenamiento a través de condiciones que estaban muy alejadas del partido, como prevenir el sobreentrenamiento y las lesiones.
Los resultados de este estudio no pretenden predecir el rendimiento en competición, ya que este se ve afectado por otros factores como puede ser la puntuación, la elección de las tácticas o el acierto técnico de los jugadores. Sin embargo, estos resultados indican que la intensidad media del partido siguió el modelo matemático basado en el registro de la sesión de entrenamiento. Por otro lado, se debe tener en cuenta la comparación de los primeros 8 minutos del partido con la media del partido entero, puesto que los primeros nos pueden servir como una referencia para la intensidad máxima alcanzable en un partido a la hora de planificar la carga de entrenamiento.
Aplicaciones prácticas desde los juegos reducidos para la cuantificación de la carga
Desde Fútbol Revolucionario nos gustaría ayudaros como siempre a partir de la perspectiva científica con unas Aplicaciones Prácticas para vuestros entrenamientos, que resumimos a continuación a partir de la lectura y estudio del artículo:
- Para poder controlar y anticipar la carga de entrenamiento es necesario, en primer lugar, conocer cuáles son nuestros valores de referencia en partido y entrenamiento, que dependerán del nivel de nuestros jugadores, sistema y estilo de juego, cultura, dimensiones del campo, etc.
- Se deben crear modelos de regresión para cada parámetro físico en función de la densidad de los SSG. Gracias a ello podremos tener una predicción objetiva de la carga de entrenamiento y suponer las demandas condicionales de cada SSG antes de llevarlo a cabo.
- Es fundamental conocer qué densidad se necesita para desarrollar cada una de las principales cualidades físicas y qué porcentaje de intensidad con respecto al partido representa cada una de ellas.
- Con toda esta información, los entrenadores y preparadores físicos pueden lograr la carga de entrenamiento objetivo alterando variables como el tamaño del terreno de juego, el número de jugadores y la duración de juego.
A modo de conclusión, cabe destacar que los resultados de este estudio muestran la relación existente entre el rendimiento físico y la densidad del área de la superficie por jugador. Junto a ello, nos aporta una gran visión de qué tipo de SSG debemos usar para lograr los objetivos propuestos en cada entrenamiento.
Densidad del área de la superficie por jugador. Claves para los cuerpos técnicos
Esta información resulta de gran interés para todos los entrenadores, preparadores físicos y cuerpos técnicos que disponen de las herramientas necesarias para poder cuantificar con precisión la carga externa y los animo a probar en sus entrenamientos estos valores de referencia para corroborar esta información y sacar sus propias conclusiones. Sin embargo, para aquellos que no disponen de estas herramientas este artículo cobra mayor importancia aún, puesto que utilizando las referencias mostradas en este artículo pueden estimar que tipo de carga están aplicando a sus jugadores y que cualidad física están desarrollando en cada momento sin la necesidad de dispositivos GPS. Por lo tanto, recomiendo a todo este grupo de profesionales realizar su propia tabla con las densidades requeridas (distancias de campo y número de jugadores) para el desarrollo de cada cualidad física y cada porcentaje de intensidad del partido utilizando las referencias citadas en este estudio.
Poner en práctica la información recopilada, puede ser una gran ayuda para cuerpos técnicos a la hora de planificar el microciclo semanal pudiendo así anticipar la carga de entrenamiento y distribuir de forma lógica y ordenada los contenidos a trabajar. Sin embargo, en numerosas ocasiones es imposible tener todo bajo control porque ¿qué hacemos si cada jugador muestra diferentes parámetros condicionales en un SSG? ¿Cómo podemos compensar esa falta de estímulo condicional o sobre estimular a los jugadores que lo necesitan? Para encontrar solución a estas preguntas se necesita llevar un control exhaustivo de la carga a nivel individual de cada jugador, conocer su perfil, qué posición o rol desempeña en el equipo o qué acumulativo de carga lleva en las últimas semanas. La gestión de todas estas variables será la clave que marque la diferencia y que permita llevar el rendimiento de tus jugadores a un nivel superior. Si además de todo lo comentado anteriormente, consigues que los objetivos condicionales concuerden con los objetivos técnico-tácticos estarás ayudando a que todo el equipo mejore a pasos agigantados y esté cada vez más cerca de lograr los objetivos propuestos.


