Juegos Reducidos y Máxima Exigencia en Fútbol

PARTIDO VS JUEGOS REDUCIDOS: UNA COMPARACIÓN DEL “ESCENARIO DE MÁXIMA EXIGENCIA” EN JUGADORES DE FÚTBOL JUVENIL DE ÉLITE

https://www.researchgate.net/publication/374195440_Match_vs_Small-Sided_Games_A_comparison_of_the_Worst-Case_Scenario_in_elite_youth_soccer_player

¿SIMULAN NUESTROS ENTRENAMIENTOS LOS PERIODOS MÁS EXIGENTES DE LA COMPETICIÓN?

Bienvenidos de nuevo a nuestro blog. Esta semana, desde Fútbol Revolucionario os presentamos un interesante artículo que compara las variables de carga externa obtenidas en tres juegos reducidos realizados durante las sesiones de entrenamiento con las variables de carga externa recogidas en los periodos de máxima exigencia del partido de competición.

En los últimos años son muchos los equipos que utilizan los juegos reducidos como herramienta principal de entrenamiento, pero ¿simulan estos las demandas condicionales que nos encontramos en los periodos más exigentes de la competición? ¿es suficiente entrenar a nuestros jugadores solamente con este tipo de tareas? ¿podría el entrenamiento analítico de determinadas capacidades complementar nuestro entrenamiento para llegar mejor preparado a la competición? Con el resumen de este artículo queremos que: encuentres respuesta a estas preguntas, seas consciente del efecto que produce este tipo de tareas en tus jugadores y te des cuenta de que carecen tus sesiones de entrenamiento si abusas de ellas.

JUEGOS REDUCIDOS Y EL ” ESCENARIO DE MAYOR EXIGENCIA”… EN FÚTBOL

Los juegos reducidos (SSG) se juegan en áreas pequeñas, con un menor número de jugadores que el partido y reglas adaptadas que los entrenadores utilizan para desarrollar habilidades deportivas específicas. Se pueden diseñar y orientar los objetivos de los SSG manipulando el área por jugador (ApP), el número de jugadores, las reglas, la presencia de porteros o el estímulo verbal para desarrollar las cualidades físicas deseadas.

Recientemente, se ha desarrollado un nuevo enfoque conocido como “Escenario del Peor de los Casos – Escenario de Máxima Exigencia” (WCS), para caracterizar la actividad locomotora durante el partido o la sesión de entrenamiento en fútbol. Esta metodología permite la determinación de períodos en los que los indicadores de carga externa (ELI) alcanzaron su máximo durante la práctica de acuerdo con la duración del período seleccionado.

Hoy en día, la literatura proporciona resultados contradictorios con respecto a la comparación de WCS durante los partidos oficiales y SSG en el entrenamiento. Algunos autores observaron que la actividad locomotora durante SSG no alcanza una intensidad similar a la de los partidos especialmente para variables de alta intensidad como HSD o SRD, mientras que otros autores afirman que esto es posible modificando ciertos parámetros durante SSG. Por lo tanto, este estudio tuvo como objetivo comparar el ELI obtenido durante 3 tipos diferentes de SSG y durante el WCS sostenido durante los partidos oficiales.

En cuanto a la metodología del artículo, se recopilaron datos de veintiséis jugadores de fútbol masculinos altamente entrenados pertenecientes a una academia de fútbol profesional durante 7 partidos oficiales y 8 sesiones de entrenamiento. En la tabla 1 se muestran los tres tipos diferentes de SSG que se utilizaron para el estudio.

TIPOS DE JUEGOS REDUCIDOS. SMALL SIDED GAMES UTILIZADOS

Los SSG utilizados durante los entrenamientos fueron: 1) 2 zonas de posesión, 5 contra 5 con 2 comodines más 5 jugadores en espera en la zona contraria (SSGP), 2) Juego reducido 4 contra 4 con 2 porterías pequeñas en cada lado, (SSGWOGK) y 3) Juego reducido 4 contra 4 + porteros con porterías grandes (SSGWGK). Cada SSG se configuró durante 4 series de 4 minutos con 3 minutos de recuperación pasiva entre cada serie. Se realizó un calentamiento de 25 minutos antes de cada SSG de manera similar al calentamiento del día del partido

image - Juegos Reducidos y Máxima Exigencia en Fútbol

El propósito de este estudio fué comparar ELI durante tres tipos de SSG y partidos oficiales en jugadores de fútbol juvenil de élite. Los principales resultados mostraron que la mayoría de los ELI durante el SSG no replicaron el WCS sostenido durante los partidos oficiales. Sin embargo, solo las variables relacionadas con el MPE fueron capaces de reproducir una densidad similar a la de los partidos.

image 1 - Juegos Reducidos y Máxima Exigencia en Fútbol

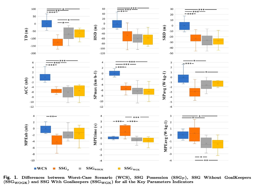
DIFERENCIAS ENTRE EL PEOR ESCENARIO DE UN PARTIDO Y DIFERENTES JUEGOS REDUCIDOS

Con respecto a SSG con porterías, se observaron diferencias extremadamente grandes en comparación con los partidos, siendo la intensidad de estos significativamente más alta que SSGWGK y SSGWOGK.  Estos resultados siguen la línea de varios estudios que afirman que los marcadores de alta intensidad como el sprint o el número de aceleraciones durante el SSG son más bajos que los partidos. Un factor que podría explicar los hallazgos actuales podría ser el tamaño del campo. El ApP utilizada en el estudio (SSGP :94 m2 ; SSGWOGK y SSGWGK : 160 m2) fue demasiado pequeño para reproducir una carrera de alta velocidad similar a la de competición. Sin embargo, en otros estudios en los que se utilizó un mayor número de jugadores por equipo durante el SSG se observaron valores más altos de MPavg, MPEavg, ACCnb, HSD y SRD que en el WCS. En consecuencia, un mayor número de jugadores, así como un área más grande, podrían mejorar la actividad locomotora registrada en este estudio.

El SSGP no reprodujo la mayoría de los valores ELI obtenidos durante WCS, excepto para HSD y MPEnb, donde se encontraron diferencias significativas. Sin embargo, se puede decir que la distancia del SSG fue insuficiente en este estudio para permitir a los jugadores alcanzar sus respectivos valores de HSD, SRD y SPmax.  Por lo tanto, con el fin de reproducir estos esfuerzos, sería apropiada la inclusión de porterías con un ApP más grande o agregar ejercicios adicionales con alta intensidad y carreras de velocidad.

Al comparar los SSG entre sí, no se encontró ninguna diferencia entre SSGWOGK y SSGWGK. Sin embargo, se encontraron diferencias entre SSGP y SSGWOGK, SSGWGK. La DT de SSGP tuvo mayor diferencia con WCS en comparación con los otros dos SSG. Por lo tanto, es probable que la inclusión de porterías obligue a una actividad de carrera más alta.

image 2 - Juegos Reducidos y Máxima Exigencia en Fútbol

FORMAS DE AÑADIR LOS ESCENARIOS DE MÁXIMA EXIGENCIA EN NUESTROS JUEGOS REDUCIDOS

Cabe destacar que dentro de la literatura científica hay demasiada controversia en cuanto al tamaño del campo en los SSG. Muchos autores han establecido una relación entre aumentar el tamaño del campo con una reducción del número de aceleraciones además de una distorsión táctica. Por lo tanto, es posible que los valores WCS para HSD y ACC no se puedan alcanzar adecuadamente al mismo tiempo dentro de una sola configuración de SSG. Esto sugiere que ApP debe seleccionarse priorizando solo un objetivo de forma simultánea o utilizar tareas genéricas separadas para abordar ambos contenidos (por ejemplo, HIIT).

Antes de sacar conclusiones del estudio, es importante conocer sus limitaciones, puesto quelos jugadores involucrados en el estudio tenían 15 años y se encontraban aún en proceso de maduración, con lo cual esto pudo influir en los resultados. Además, en el estudio se encontró un CV grande entre los jugadores durante los SSG.

APLICACIONES PRÁCTICAS PARA EL USO DE LOS JUEGOS REDUCIDOS Y SU RELACIÓN CON EL ESCENARIO DE MÁXIMA EXIGENCIA…

Fútbol Revolucionario nos gustaría ayudaros como siempre a partir de la perspectiva científica con unas Aplicaciones Prácticas para vuestros entrenamientos, que resumimos a continuación a partir de la lectura y estudio del artículo:

  1. El ApP es un factor determinante a la hora de configurar los SSG, por lo tanto, será fundamental elegir adecuadamente la orientación que queremos en la tarea y a partir de ello establecer el tamaño de juego. Siendo necesario un ApP grande si queremos enfocar nuestra tarea hacia el HSR o un ApP menor si la orientación principal va destinada al nº ACC.
  2. En numerosas ocasiones, la configuración del SSG no permite replicar al completo las demandas de la competición. En esos casos será necesario complementar este tipo de tareas con ciertos trabajos aislados como pueden ser tareas de Sprint repetidos o Entrenamiento Interválico.
  3. Analizados los resultados de este estudio, parece clara la necesidad de utilizar porterías en los SSG para aumentar la actividad de carrera y a su vez aumentar la intensidad de las tareas.
  4. Durante los SSG podemos encontrar una variación alta de carga entre los propios jugadores, por lo tanto, es fundamental la monitorización de la carga en estas tareas para conocer las demandas condicionales de los mismos y poder compensar posteriormente estos esfuerzos.

JUEGOS REDUCIDOS, UNA HERRAMIENTA VÁLIDA PARA ENTRENAR TODAS NUESTRAS ESTRUCTURAS.

Los SSG son una herramienta sensacional para utilizar en el día a día del entrenamiento de fútbol desde una visión completa en la que se incluye el apartado técnico-táctico, físico y psicológico. Este tipo de tareas nos permite repetir un mayor número de acciones que en un partido oficial, por lo tanto, creo que en diferentes fases del desarrollo del deportista o incluso en diferentes momentos del microciclo semanal puede ser una gran alternativa para trabajar con nuestros jugadores. Desde el punto de vista técnico-táctico, puede ser muy útil para el entrenador que quiere que un contenido se repita en muchas ocasiones durante la tarea; desde el punto de vista psicológico, los SSG permiten fomentar la competitividad entre los jugadores, además de establecer relaciones socio-afectivas entre ellos; y, por último, desde el punto de vista condicional, reproduce valores similares a los de competición en determinadas variables usando las configuraciones adecuadas.  Sin embargo, en muchas ocasiones nos encontramos entrenadores o preparadores físicos que se olvidan de tener en cuenta estos detalles a la hora de configurar los SSG, lo que lleva a no estimular de forma correcta las demandas condicionales de competición. En estos casos sería fundamental atender a la monitorización de la carga y compensar las demandas condicionales de forma aislada.

Seguimos avanzando…

Deja un comentario

Tu dirección de correo electrónico no será publicada. Los campos obligatorios están marcados con *

Prueba gratis una ponencia de nuestro Congreso

LA PREPARACIÓN FÍSICA EN LA ÉLITE

Prueba gratis una ponencia de Nuestro Congreso

LA READAPTACIÓN DE LESIONES EN FUTBOL

Prueba gratis una ponencia de Nuestro Congreso

EL ENTRENAMIENTO DE LA FUERZA EN EL FUTBOL

Prueba gratis una ponencia de nuestro Congreso

EL CUERPO TÉCNICO EN EL FÚTBOL DE ÉLITE​

Prueba gratis una ponencia de nuestro Congreso

cuantificación de la carga en el fútbol

Acceso a una clase gratis de nuestro Congreso

Diseño de tareas en el fútbol

MockUP PICOS DE CARGA 1030x805 - Efectos de un calendario congestionado y participación en competición sobre los índices de carga

Inscríbete a nuestra Masterclass GRATUITA

Los picos de carga en el fútbol